Be the first to review “Darpan Mppsc Mains Paper -4, PART -B, UNIT 1 To 5 , 2024 Syllabus Entrepreneurship, management, personality disorders and case studies As per latest syllabus of MPPSC 2024 Evam Case Study Book in hindi MEDIUM for Mppsc Mains Exams” Cancel reply






























Reviews
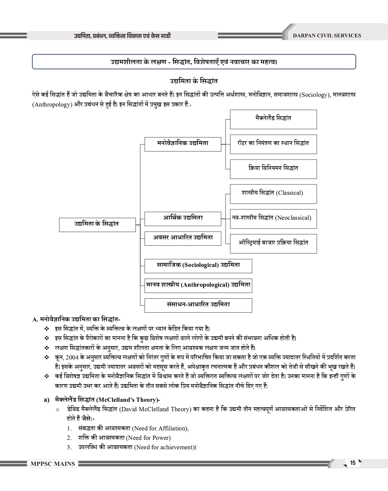
There are no reviews yet.